Redis里那个选举规范怎么实现的,聊聊redis选举机制那些事儿
- 问答
- 2025-12-23 20:23:27
- 4
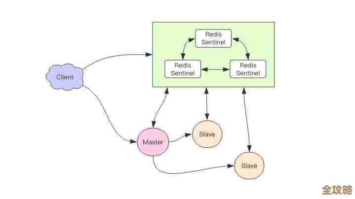
说到Redis的选举,我们主要聊的是在Redis哨兵模式下的选举,你得先明白,为啥要有选举?简单说,就是当主服务器(Master)突然挂掉的时候,不能让它的小弟们(从服务器,Slaves)群龙无首啊,得赶紧从这些小弟里面选出一个新的老大来接替工作,保证整个系统还能继续转,这个“选老大”的过程,就是选举,而负责组织和监督这个选举的,不是那些数据节点自己,而是一群特殊的“监工”,也就是哨兵(Sentinel)。
这个故事的主角是哨兵集群,你可以把哨兵们想象成一个委员会,他们的核心任务就是7x24小时地盯着主服务器和它手下的小弟们,每个哨兵都会定期去检查这些Redis实例的“死活”。
第一步:发现老大挂了
任何一个哨兵,只要它发现主服务器联系不上了(比如网络不通或者没响应),它不会立刻宣布主服务器死亡,因为这可能只是自己眼花了(比如网络临时抽风),它会进入一个“疑似死亡”的状态,这个哨兵会把自己判断主服务器“主观下线”的消息广播给委员会里的其他所有哨兵。

其他哨兵收到消息后,会亲自去核实一下,当同意“主服务器确实挂了”的哨兵数量达到一个预设的多数派时(一共5个哨兵,有3个都认为它挂了),委员会就正式达成共识,宣布主服务器“客观下线”,这就像不是一个医生说你病了你就病了,得会诊后多数专家都点头才行,避免误判。
第二步:选举一个带头大哥(Leader Sentinel)
一旦确认老大(主服务器)真的不行了,委员会不能七嘴八舌地同时去组织选举新老大,那样就乱套了,他们得先在自己内部选出一个“总统”或者说“带头大哥”,由这个带头大哥来全权负责接下来的“扶植新主”流程。

这个选举带头大哥的过程,在Redis哨兵里用的是Raft算法的核心思想,规则大概是这样的:
- 谁先发起,谁有优势:任何一个发现主服务器“客观下线”的哨兵,都会立刻向其他哨兵发出申请,说:“我要当带头大哥,来组织这次换届!”
- 一人一票,先到先得:每个哨兵在每一届选举中,只能投一次票,它会把票投给第一个向自己发出申请的哨兵,这是一种“先来后到”的规则,鼓励大家积极行动。
- 多数派胜出:如果一个哨兵获得了超过半数的选票(比如5个哨兵里拿到3票或以上),它就成功当选为这一轮的带头大哥。
- 失败就重来:如果一轮投票下来,没有人拿到足够多的票数,那么选举会暂停一段时间,然后重新开始,这个过程可能会重复几次,直到选出带头大哥为止。
这里有个关键点:选举可能不会一次成功,比如网络有延迟,大家的申请消息到达顺序不一样,可能导致票数分散,但Raft算法保证了最终只会有一个哨兵胜出。
第三步:带头大哥挑选新主

好了,现在带头大哥选出来了,这个带头大哥就要开始履行它的职责了:从剩下的、健康的从服务器(Slaves)中,挑选一个最合适的,把它扶植成新的主服务器。
它挑选的标准可不是随便点的,有一套优先级:
- 健康第一:首先得是还在线的、网络通畅的从服务器。
- 数据新旧是关键:它会比较所有从服务器的数据复制偏移量,谁的数据和挂掉的老主的数据最接近(也就是数据最新),谁的优先级就最高,因为数据越新,当上新主后丢失的数据就越少。
- 看配置优先级:如果数据新旧差不多,Redis允许你手动给从服务器设置一个“优先级”(
slave-priority),数值越小的优先级越高,这让你可以干预选举结果,比如把性能更好的机器选上来。 - 最后的最后:如果以上都分不出胜负,那就看每个从服务器的一个运行ID(一个随机字符串),选那个ID字典序最小的,这纯属一种打破平局的随机手段。
带头大哥根据这套标准选定新主后,就会向这个从服务器发送命令,让它“升级”为主服务器,它会向其他所有从服务器发送命令,让它们认这个新主,开始从新主那里复制数据,它还会通知所有的客户端,以后要连接新的主服务器。
总结一下
Redis的选举机制其实分两大步:先是哨兵内部选一个带头大哥(基于Raft算法),然后是这个带头大哥根据规则从从服务器里选一个新主。 整个过程设计得非常谨慎,通过“主观下线”到“客观下线”避免误判,通过投票选举避免单点指挥,通过一套细致的规则确保选出的新主是最优选择,这一切都是为了在老大意外挂掉的时候,整个系统能够自动、快速、可靠地完成切换,保证服务的高可用性。 参考和整合了Redis官方文档中关于Sentinel机制的描述,以及众多技术社区如Redis Labs、博客园、CSDN等对Redis Sentinel原理的普遍解读。)
本文由歧云亭于2025-12-23发表在笙亿网络策划,如有疑问,请联系我们。
本文链接:https://haoid.cn/wenda/67119.html
